【中国发明,中国发明授权】一种POSS基杂化的预交联凝胶颗粒及其制备方法

有权-审定授权 中国

申请号:
CN201810791687.3
专利权人:
西南石油大学
授权公告日/公开日:
2019.04.16
专利有效期:
2018.07.18-2038.07.18
技术分类:
C08:有机高分子化合物;其制备或化学加工;以其为基料的组合物
转化方式:
转让
价值度指数:
62.0分
价格:
面议
168 0

发布人

知识产权运营中心

联系人IP先生

15113831943
9411117419@qq.com
941117419
szhf1188(加微信)
深圳市南山区粤海街道100号
  • 专利信息&法律状态
  • 专利自评
  • 专利技术文档
  • 价值度指数
  • 发明人阵容

著录项

申请号
CN201810791687.3
申请日
20180718
公开/公告号
CN109232826A
公开/公告日
20190118
申请/专利权人
[西南石油大学]
发明/设计人
[蒲万芬, 杜代军, 金发扬, 蒲勇, 刘锐]
主分类号
C08F283/06
IPC分类号
C12N 9/0008(2013.01) C12N 9/16
CPC分类号
C12N 9/0008(2013.01) C12N 9/16(2013.01)
分案申请地址
国省代码
四川(51)
颁证日
G06T1/00
代理人
[房立普]

摘要

本发明公开了一种POSS基杂化的预交联凝胶颗粒,该凝胶颗粒由原料组分丙烯酰胺、双丙酮丙烯酰胺、甲基丙烯酰氯改性壬基酚聚氧乙烯醚和八乙烯基笼形倍半硅氧烷在引发剂作用下引发聚合交联反应制得。制备步骤:(1)将丙烯酰胺、双丙酮丙烯酰胺、甲基丙烯酰氯改性壬基酚聚氧乙烯醚、八乙烯基笼形倍半硅氧烷和十二烷基硫酸钠溶于水中,得到无色透明水溶液;(2)将水溶液中通氮气除氧后加入引发剂,升温至30‑50℃;(3)停止加热后体系温度继续上升达到最大值后保温5h,得到凝胶状胶体;(4)凝胶状胶体经过切割、造粒、烘干,得到目标产物。本发明的凝胶颗粒加入了POSS基,改善了传统水凝胶体系形貌不均一、机械性能差及凝胶网络结构孔径小等特点。

法律状态

法律状态公告日 20210409
法律状态 专利权人的姓名或者名称、地址的变更
法律状态信息 专利权人的姓名或者名称、地址的变更
IPC(主分类):C08F 283/06
专利号:ZL2018107916873
变更事项:专利权人
变更前:东营聚星石油科技有限公司
变更后:山东聚星石油科技有限公司
变更事项:地址
变更前:257000 山东省东营市东营区南二路208号
变更后:257067 山东省东营市东营区南二路208号
法律状态公告日 20200609
法律状态 专利申请权、专利权的转移
法律状态信息 专利权的转移
IPC(主分类):C08F 283/06
专利号:ZL2018107916873
登记生效日:20200520
变更事项:专利权人
变更前权利人:西南石油大学
变更后权利人:东营聚星石油科技有限公司
变更事项:地址
变更前权利人:610500 四川省成都市新都区新都大道8号
变更后权利人:257000 山东省东营市东营区南二路208号
法律状态公告日 20190416
法律状态 授权
法律状态信息 授权
法律状态公告日 20190219
法律状态 实质审查的生效
法律状态信息 实质审查的生效
IPC(主分类):C08F 283/06
申请日:20180718
法律状态公告日 20190118
法律状态 公开
法律状态信息 公开
事务数据公告日 20200609
事务数据类型 专利申请权、专利权的转移
转让详情 专利权的转移
IPC(主分类):C08F 283/06
专利号:ZL2018107916873
登记生效日:20200520
变更事项:专利权人
变更前权利人:西南石油大学
变更后权利人:东营聚星石油科技有限公司
变更事项:地址
变更前权利人:610500 四川省成都市新都区新都大道8号
变更后权利人:257000 山东省东营市东营区南二路208号
暂无数据

权利要求

权利要求数量(9

独立权利要求数量(2

1.一种POSS基杂化的预交联凝胶颗粒,其特征在于,该凝胶颗粒由原料组分丙烯酰胺、双丙酮丙烯酰胺、甲基丙烯酰氯改性壬基酚聚氧乙烯醚和八乙烯基笼形倍半硅氧烷在引发剂作用下引发聚合交联反应制得。

2.如权利要求1所述的POSS基杂化的预交联凝胶颗粒,其特征在于,各原料组分的质量百分比如下:

丙烯酰胺15~20%、双丙酮丙烯酰胺5-10%、甲基丙烯酰氯改性壬基酚聚氧乙烯醚1-5%、八乙烯基笼形倍半硅氧烷0.005-0.01%、十二烷基硫酸钠0.05-0.1%、引发剂0.001-0.005%、其余为水。

3.如权利要求2所述的POSS基杂化的预交联凝胶颗粒,其特征在于,所述引发剂为偶氮二异丁脒盐酸盐、过硫酸盐或氧化还原引发体系。

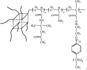
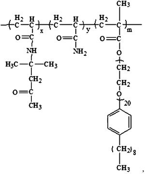
4.如权利要求3所述的POSS基杂化的预交联凝胶颗粒,其特征在于,该凝胶颗粒的结构式如下:

式中,立方体代表笼形POSS分子,其结构式如下:

立方体各顶点上的曲线所代表的结构式如下:

式中,x、y、m为单体聚合度,x:y:m=0.05~0.1:0.15~0.25:0.01~0.05。

5.一种权利要求1-4任意一项所述的POSS基杂化的预交联凝胶颗粒的制备方法,其特征在于,包括如下步骤:

(1)将丙烯酰胺、双丙酮丙烯酰胺、甲基丙烯酰氯改性壬基酚聚氧乙烯醚、八乙烯基笼形倍半硅氧烷和十二烷基硫酸钠溶于水中,得到无色透明水溶液;

(2)将步骤(1)得到的水溶液中通氮气除氧30min,然后加入引发剂,再继续通氮气30min,再升温至30-50℃,停止加热;

(3)该聚合反应是放热反应,停止加热后物料温度会继续上升,当体系温度上升达到最大值后保温5h,即得到凝胶状胶体;

(4)凝胶状胶体经过切割、造粒、80℃烘干20h,得到POSS基杂化的预交联凝胶颗粒。

6.如权利要求5所述的POSS基杂化的预交联凝胶颗粒的制备方法,其特征在于,所述步骤(1)具体为:先将八乙烯基笼形倍半硅氧烷和十二烷基硫酸钠加入去离子水中,搅拌至溶液为无色澄清,然后加入丙烯酰胺、双丙酮丙烯酰胺和甲基丙烯酰氯改性壬基酚聚氧乙烯醚,搅拌无色透明水溶液。

7.如权利要求5所述的POSS基杂化的预交联凝胶颗粒的制备方法,其特征在于,所述步骤(2)具体为:将步骤(1)得到的水溶液转移到三口烧瓶中,通氮气30分钟除去溶液中和烧瓶中的空气,然后加入引发剂搅拌均匀,继续通氮气30分钟,再升温至30-50℃,停止加热。

8.如权利要求7所述的POSS基杂化的预交联凝胶颗粒的制备方法,其特征在于,所述引发剂为偶氮二异丁脒盐酸盐、过硫酸铵、过硫酸钾、过硫酸盐/亚硫酸氢钠氧化还原引发体系、过硫酸盐/亚硫酸钠氧化还原引发体系其中的一种。

9.如权利要求5所述的POSS基杂化的预交联凝胶颗粒的制备方法,其特征在于,使用时,将该凝胶颗粒加入水中配制成一定质量浓度的水溶液,形成凝胶颗粒溶液,然后泵入地层。

1.一种POSS基杂化的预交联凝胶颗粒,其特征在于,该凝胶颗粒由原料组分丙烯酰胺、双丙酮丙烯酰胺、甲基丙烯酰氯改性壬基酚聚氧乙烯醚和八乙烯基笼形倍半硅氧烷在引发剂作用下引发聚合交联反应制得。

2.如权利要求1所述的POSS基杂化的预交联凝胶颗粒,其特征在于,各原料组分的质量百分比如下:

丙烯酰胺15~20%、双丙酮丙烯酰胺5-10%、甲基丙烯酰氯改性壬基酚聚氧乙烯醚1-5%、八乙烯基笼形倍半硅氧烷0.005-0.01%、十二烷基硫酸钠0.05-0.1%、引发剂0.001-0.005%、其余为水。

3.如权利要求2所述的POSS基杂化的预交联凝胶颗粒,其特征在于,所述引发剂为偶氮二异丁脒盐酸盐、过硫酸盐或氧化还原引发体系。

4.如权利要求3所述的POSS基杂化的预交联凝胶颗粒,其特征在于,该凝胶颗粒的结构式如下:

式中,立方体代表笼形POSS分子,其结构式如下:

立方体各顶点上的曲线所代表的结构式如下:

式中,x、y、m为单体聚合度,x:y:m=0.05~0.1:0.15~0.25:0.01~0.05。

5.一种权利要求1-4任意一项所述的POSS基杂化的预交联凝胶颗粒的制备方法,其特征在于,包括如下步骤:

(1)将丙烯酰胺、双丙酮丙烯酰胺、甲基丙烯酰氯改性壬基酚聚氧乙烯醚、八乙烯基笼形倍半硅氧烷和十二烷基硫酸钠溶于水中,得到无色透明水溶液;

(2)将步骤(1)得到的水溶液中通氮气除氧30min,然后加入引发剂,再继续通氮气30min,再升温至30-50℃,停止加热;

(3)该聚合反应是放热反应,停止加热后物料温度会继续上升,当体系温度上升达到最大值后保温5h,即得到凝胶状胶体;

(4)凝胶状胶体经过切割、造粒、80℃烘干20h,得到POSS基杂化的预交联凝胶颗粒。

6.如权利要求5所述的POSS基杂化的预交联凝胶颗粒的制备方法,其特征在于,所述步骤(1)具体为:先将八乙烯基笼形倍半硅氧烷和十二烷基硫酸钠加入去离子水中,搅拌至溶液为无色澄清,然后加入丙烯酰胺、双丙酮丙烯酰胺和甲基丙烯酰氯改性壬基酚聚氧乙烯醚,搅拌无色透明水溶液。

7.如权利要求5所述的POSS基杂化的预交联凝胶颗粒的制备方法,其特征在于,所述步骤(2)具体为:将步骤(1)得到的水溶液转移到三口烧瓶中,通氮气30分钟除去溶液中和烧瓶中的空气,然后加入引发剂搅拌均匀,继续通氮气30分钟,再升温至30-50℃,停止加热。

8.如权利要求7所述的POSS基杂化的预交联凝胶颗粒的制备方法,其特征在于,所述引发剂为偶氮二异丁脒盐酸盐、过硫酸铵、过硫酸钾、过硫酸盐/亚硫酸氢钠氧化还原引发体系、过硫酸盐/亚硫酸钠氧化还原引发体系其中的一种。

9.如权利要求5所述的POSS基杂化的预交联凝胶颗粒的制备方法,其特征在于,使用时,将该凝胶颗粒加入水中配制成一定质量浓度的水溶液,形成凝胶颗粒溶液,然后泵入地层。

说明书

技术领域

本发明属于石油开采技术领域,涉及一种油藏调驱使用的预交联凝胶颗粒,尤其涉及一种POSS基杂化的预交联凝胶颗粒及其制备方法。

背景技术

我国大部分油田长期注水开发后,储层物性变化很大,特别是高渗透和大孔道地层的产生,使水淹地层平均渗透率提高,窜流通道出现,指进现象明显,水驱波及体积系数下降,水驱效果变差,油井含水快速上升,原油采收率快速下降。为了减小水驱窜流、提高水驱效率,常用的技术措施是向注水井中注入化学体系,包括无机颗粒、复合颗粒、预交联颗粒、弱凝胶和强凝胶。化学剂凝固或者膨胀后形成物理堵塞,高渗透层的渗透率降低,注入水转向进去低渗层,扩大对低渗层的波及,增加可采储量。

目前油田常用凝胶颗粒、本体弱凝胶、胶态凝胶颗粒和黄原胶作为深部调驱剂使用。本体凝胶运移能力差、耐温性和抗剪切性差,不能对地层进行有效的封堵。预交联凝胶颗粒在地面交联,能够有效的避免地层水和温度对交联反应的影响,同时颗粒膨胀后具有良好的黏弹性,能够较好的进入低渗层。

传统水凝胶体系存在形貌不均、机械性能差及凝胶网络结构孔径小等特点。常规普通聚丙烯酰胺类聚合物的不足之处在于:常规普通聚丙烯酰胺类聚合物或者生物类聚合物在不与交联剂配合使用的条件下不能有效封堵高渗透层,与交联剂配合使用后凝胶体系直接将高渗层堵死,常规聚丙烯酰胺类凝胶颗粒在高温高盐油藏条件下不具备良好的长期稳定性的缺点。

发明内容

本发明的目的是针对常规普通聚丙烯酰胺类聚合物或者生物类聚合物在不与交联剂配合使用的条件下不能有效封堵高渗透层,而与交联剂配合使用后凝胶体系直接将高渗层堵死,并且常规聚丙烯酰胺类凝胶颗粒在高温高盐油藏条件下稳定性差的缺点,提供一种POSS基杂化的预交联凝胶颗粒。

为了实现上述目的,本发明提供了一种一种POSS基杂化的预交联凝胶颗粒,该凝胶颗粒由原料组分丙烯酰胺、双丙酮丙烯酰胺、甲基丙烯酰氯改性壬基酚聚氧乙烯醚和八乙烯基笼形倍半硅氧烷在引发剂作用下引发丙烯酰胺和非离子单体发生聚合交联反应,在聚合交联反应结束后,进行切割、造粒、烘干制得。各原料组分的质量百分比如下:丙烯酰胺15~20%、双丙酮丙烯酰胺5-10%、甲基丙烯酰氯改性壬基酚聚氧乙烯醚1-5%、八乙烯基笼形倍半硅氧烷0.005-0.01%、十二烷基硫酸钠0.05-0.1%、引发剂0.001-0.005%、其余为水。所述引发剂为偶氮二异丁脒盐酸盐、过硫酸盐或氧化还原引发体系。

该凝胶颗粒的结构式如下:

式中,立方体代表笼形POSS分子,其结构式如下:

立方体各顶点上的曲线所代表的结构式如下:

式中,x、y、m为单体聚合度,x:y:m=0.05~0.1:0.15~0.25:0.01~0.05。

上述POSS基杂化的预交联凝胶颗粒主要通过原料单体经引发剂引发聚合交联而得,最后经过切割、造粒、烘干、粉碎、筛选而得凝胶颗粒。具体制备方法包括如下步骤:

(1)将丙烯酰胺、双丙酮丙烯酰胺、甲基丙烯酰氯改性壬基酚聚氧乙烯醚、八乙烯基笼形倍半硅氧烷和十二烷基硫酸钠溶于水中,得到无色透明水溶液;

(2)将步骤(1)得到的水溶液中通氮气除氧30min,然后加入引发剂,再继续通氮气30min,再升温至30-50℃,停止加热;

(3)该聚合反应是放热反应,停止加热后物料温度会继续上升,当体系温度上升达到最大值后保温5h,即得到凝胶状胶体;

(4)上述凝胶状胶体经过切割、造粒、80℃烘干20h,粉碎、筛分,得到POSS基杂化的预交联凝胶颗粒。

优选的是,所述步骤(1)具体为:先将八乙烯基笼形倍半硅氧烷和十二烷基硫酸钠加入去离子水中,搅拌至溶液为无色澄清,然后加入丙烯酰胺、双丙酮丙烯酰胺和甲基丙烯酰氯改性壬基酚聚氧乙烯醚,搅拌无色透明水溶液。

优选的是,所述步骤(2)具体为:将步骤(1)得到的水溶液转移到三口烧瓶中,通氮气30分钟除去溶液中和烧瓶中的空气,然后加入引发剂搅拌均匀,继续通氮气30分钟,再升温至30-50℃,停止加热。

优选的是,所述引发剂为偶氮二异丁脒盐酸盐、过硫酸铵、过硫酸钾、过硫酸盐/亚硫酸氢钠氧化还原引发体系、过硫酸盐/亚硫酸钠氧化还原引发体系其中的一种。

所述POSS基杂化的预交联凝胶颗粒的现场使用方法:使用时,将该凝胶颗粒加入水中配制成一定质量浓度的水溶液,形成凝胶颗粒溶液,然后泵入地层。

与现有技术相比,本发明具有以下有益效果:

该预交联凝胶颗粒的原料配方中加入八乙烯基笼形倍半硅氧烷,与引发体系共同作用交联形成空间网络结构,使线性聚丙烯酰胺溶液具有良好的黏弹性和触变性,改善了传统水凝胶体系形貌不均一、机械性能差及凝胶网络结构孔径小等特点;温敏性单体双丙酮丙烯酰胺的引入使得提高了预交联凝胶颗粒的抗温性;甲基丙烯酰氯改性壬基酚聚氧乙烯醚的引入提高了预交联凝胶颗粒的耐盐性;同时该凝胶颗粒缓膨性能良好,能够运移到距离注水井很远的地带,实现深部调驱。

本发明的其它优点、目标和特征将部分通过下面的说明体现,部分还将通过对本发明的研究和实践而为本领域的技术人员所理解。

附图说明

图1、POSS基杂化的预交联凝胶颗粒耐温性曲线图(矿化度3万)。

图2、POSS基杂化的预交联凝胶颗粒抗盐性曲线图(温度25℃)。

具体实施方式

下面结合附图对本发明做进一步的详细说明,以令本领域技术人员参照说明书文字能够据以实施。

应当理解,本文所使用的诸如“具有”、“包含”以及“包括”术语并不配出一个或多个其它元件或其组合的存在或添加。

一、制备方法实施例

实施例1

一种POSS基杂化的预交联凝胶颗粒,由以下原料组分制成:17g丙烯酰胺、5g双丙酮丙烯酰胺、3g甲基丙烯酰氯改性壬基酚聚氧乙烯醚、0.01g八乙烯基笼形倍半硅氧烷、0.1g十二烷基硫酸钠、0.0001g过硫酸铵、75g去离子水。

制备工艺:将0.01g八乙烯基笼形倍半硅氧烷和0.1g十二烷基硫酸钠加入到75g去离子水中,搅拌至溶液为无色澄清;随后将17g丙烯酰胺、5g双丙酮丙烯酰胺和3g甲基丙烯酰氯改性壬基酚聚氧乙烯醚加入至溶液中,搅拌均匀形成无色透明水溶液;将水溶液加入到三口烧瓶中,通氮气30分钟除去溶液中和烧瓶中的空气,随后加入0.0001g过硫酸钾搅拌均匀,继续通氮气30分钟,将体系温度上升至50℃,停止加热,待体系温度继续升高出现峰值70℃时,保温5小时,即得到凝胶块状产品,最后经过切割、造粒、烘干、粉碎、筛分后得到POSS基杂化的预交联凝胶颗粒。

实施例2

一种POSS基杂化的预交联凝胶颗粒,由以下原料组分制成:17g丙烯酰胺、5g双丙酮丙烯酰胺、3g甲基丙烯酰氯改性壬基酚聚氧乙烯醚、0.01g八乙烯基笼形倍半硅氧烷、0.1g十二烷基硫酸钠、0.0001g过硫酸铵、75g去离子水。

制备工艺:将0.01g八乙烯基笼形倍半硅氧烷和0.1g十二烷基硫酸钠加入到75g去离子水中,搅拌至溶液为无色澄清;随后将17g丙烯酰胺、5g双丙酮丙烯酰胺和3g甲基丙烯酰氯改性壬基酚聚氧乙烯醚加入至溶液中,搅拌均匀形成无色透明水溶液;将水溶液加入到三口烧瓶中,通氮气30分钟除去溶液中和烧瓶中的空气,随后加入0.0001g过硫酸钾搅拌均匀,继续通氮气30分钟,将体系温度上升至43℃,停止加热,待体系温度继续升高出现峰值60℃时,保温5小时,即得到凝胶块状产品,最后经过切割、造粒、烘干、粉碎、筛分后得到POSS基杂化的预交联凝胶颗粒。

实施例3

一种POSS基杂化的预交联凝胶颗粒,由以下原料组分制成:15g丙烯酰胺、5g双丙酮丙烯酰胺、5g甲基丙烯酰氯改性壬基酚聚氧乙烯醚、0.01g八乙烯基笼形倍半硅氧烷、0.1g十二烷基硫酸钠、0.0001g偶氮二异丁脒盐酸盐、75g去离子水。

制备工艺:将0.01g八乙烯基笼形倍半硅氧烷和0.1g十二烷基硫酸钠加入到75g去离子水中,搅拌至溶液为无色澄清;随后将15g丙烯酰胺、5g双丙酮丙烯酰胺和5g甲基丙烯酰氯改性壬基酚聚氧乙烯醚加入至溶液中,搅拌均匀形成无色透明水溶液;将水溶液加入到三口烧瓶中,通氮气30分钟除去溶液中和烧瓶中的空气,随后加入0.0001g偶氮二异丁脒盐酸盐搅拌均匀,继续通氮气30分钟,将体系温度上升至43℃,停止加热,待体系温度继续升高出现峰值60℃时,保温5小时,即得到凝胶块状产品,最后经过切割、造粒、烘干、粉碎、筛分后得到POSS基杂化的预交联凝胶颗粒。

实施例4

一种POSS基杂化的预交联凝胶颗粒,由以下原料组分制成:15g丙烯酰胺、5g双丙酮丙烯酰胺、5g甲基丙烯酰氯改性壬基酚聚氧乙烯醚、0.01g八乙烯基笼形倍半硅氧烷、0.1g十二烷基硫酸钠、0.0001g过硫酸盐/亚硫酸氢钠氧化还原引发体系、75g去离子水。

制备工艺:将0.01g八乙烯基笼形倍半硅氧烷和0.1g十二烷基硫酸钠加入到75g去离子水中,搅拌至溶液为无色澄清;随后将15g丙烯酰胺、5g双丙酮丙烯酰胺和5g甲基丙烯酰氯改性壬基酚聚氧乙烯醚加入至溶液中,搅拌均匀形成无色透明水溶液;将水溶液加入到三口烧瓶中,通氮气30分钟除去溶液中和烧瓶中的空气,随后加入0.0001g过硫酸盐/亚硫酸氢钠氧化还原引发体系搅拌均匀,继续通氮气30分钟,将体系温度上升至30℃,停止加热,待体系温度继续升高出现峰值55℃时,保温5小时,即得到凝胶块状产品,最后经过切割、造粒、烘干、粉碎、筛分后得到POSS基杂化的预交联凝胶颗粒

二、POSS基杂化的预交联凝胶颗粒的性能评价

(1)耐温抗盐性

采用激光粒度仪测量实施例1制备的POSS基杂化的预交联凝胶颗粒的中值粒径,根据不同条件下凝胶颗粒的中值粒径计算相应的膨胀倍数,以此来判断凝胶颗粒的耐温抗盐性。从图1可知,随着温度的升高,凝胶颗粒膨胀倍数增加。随着老化时间的延长,膨胀倍数先快速增大,后缓慢增加,在7天左右趋于稳定。根据膨胀倍数与时间的关系可以发现,POSS基杂化的预交联凝胶颗粒表现出一定的缓膨性。从图2可知,随着矿化度的升高,凝胶颗粒的膨胀倍数变小。在矿化度为5万时,凝胶颗粒能够膨胀0.5倍,表现出良好的抗盐性。

(2)强度与韧性测试

POSS基杂化的预交联凝胶颗粒具有一定的粒度大小和柔韧性,与胶态分散凝胶具有相似的性质。因此,可采用转向压力法评价凝胶颗粒的强度。采用实施例1制备的凝胶可以作为测试对象。让凝胶颗粒颗粒以一定的速度通过筛网,记录凝胶颗粒体系通过筛网时的最大压力P1max。收集通过后的凝胶颗粒体系,让其以同样的速度再次通过筛网,记录通过时的最大压力P2max,韧性指数定义为P2max与P1max的比值,韧性指数越接近1,表明韧性越好。根据某油田提供的油藏资料,在矿化度为3万,温度为100℃的条件下测试质量浓度为0.5%的凝胶颗粒体系初始和老化10天和30天后的转向压力。测试结果如表1所示。预交联凝胶颗粒老化10天后,转向压力升高,老化30天后,转向压力并未降低,仍旧保持良好的强度。老化30天后,预交联凝胶颗粒的韧性指数为0.89,表面合成的预交联凝胶颗粒具有良好的韧性。

表1、POSS基杂化的预交联凝胶颗粒的转向压力

编号 老化时间(天) 转向压力(KPa) 韧性指数 1# 0 38.5 0.94 2# 10 48.6 0.92 3# 30 51.2 0.89

(3)驱油实验

根据某油田提供的油藏资料,模拟油藏条件进行并联岩心驱油实验。首先测量岩心的基本参数,然后饱和原油,记录含油饱和度;随后进行水驱直到含水率达到98%;水驱完成后,以0.5mL/min的速度注入0.3PV预交联凝胶颗粒;最后记录高低渗岩心的采收率。

根据表2可知,在渗透率级差介于6.5-27.2时,水驱过程中低渗层未启动;注入预交联凝胶颗粒后,低渗层启动。在级差为27.2时,低渗岩心采收率仍可达到7.5%,说明预交联凝颗粒能够很好地扩大注入水在油层中的波及体积,使注入水能够达到油层地带深部,更好地启动低渗层的作用。

表2、岩心参数及采收率

综上所述,本发明的POSS基杂化的预交联凝胶颗粒由于加入了POSS基,改善了传统水凝胶体系形貌不均一、机械性能差及凝胶网络结构孔径小等特点;引入了温敏性单体双丙酮丙烯酰胺,能够改善预交联凝胶颗粒的耐温性;引入抗盐单体甲基丙烯酰氯改性壬基酚聚氧乙烯醚能够显著提高;同时该凝胶颗粒缓膨性能良好,能够运移到距离注水井很远的地带,实现深部调驱。

尽管本发明的实施方案已公开如上,但其并不仅仅限于说明书和实施方式中所列运用。它完全可以被适用于各种适合本发明的领域。对于熟悉本领域的人员而言,可容易地实现另外的修改。因此在不背离权利要求及等同范围所限定的一般概念下,本发明并不限于特定的细节和这里示出与描述的图例。

价值度评估

技术价值

经济价值

法律价值

0 0 0

62.0

0 50 75 100
0~50 50~75 75~100 价值较低 中等价值 价值较高

专利价值度是通过科学的评估模

型对专利价值进行量化的结果,

基于专利大数据针对专利总体特

征指标利用计算机自动化技术对

待评估专利进行高效、智能化的

分析,从技术、经济和法律价值

三个层面构建专利价值评估体

系,可以有效提升专利价值评估

的质量和效率。

总评:62.0


该专利价值中等 (仅供参考)

        该专利的技术、经济、法律价值经系统自动评估后的总评得分处于平均水平,可以重点研究利用其技术价值,根据法律价值的评估结果选择合适的使用借鉴方式。
        本专利文献中包含【4 个实施例】、【4 个技术分类】,从一定程度上而言上述指标的数值越大可以反映出所述专利的技术保护及应用范围越广。 【专利权的维持时间8 年】专利权的维持时间越长,其价值对于权利人而言越高。 尤其重要是,该专利 【权利转移1 次】、 都从侧面反应出该专利的技术、经济和法律价值。

技术价值    34.0

该指标主要从专利申请的著录信息、法律事件等内容中挖掘其技术价值,专利类型、独立权利要求数量、无效请求次数等内容均可反映出专利的技术性价值。 技术创新是专利申请的核心,若您需要进行技术借鉴或寻找可合作的项目,推荐您重点关注该指标。

部分指标包括:

授权周期(发明)

8 个月

独立权利要求数量

2 个

从属权利要求数量

7 个

说明书页数

6 页

实施例个数

4 个

发明人数量

5 个

被引用次数

0 次

引用文献数量

0 个

优先权个数

0 个

技术分类数量

4 个

无效请求次数

0 个

分案子案个数

0 个

同族专利数

0 个

专利获奖情况

保密专利的解密

经济价值    9.0

该指标主要指示了专利技术在商品化、产业化及市场化过程中可能带来的预期利益。 专利技术只有转化成生产力才能体现其经济价值,专利技术的许可、转让、质押次数等指标均是其经济价值的表征。 因此,若您希望找到行业内的运用广泛的热点专利技术及侵权诉讼中的涉案专利,推荐您重点关注该指标。

部分指标包括:

申请人数量

1

申请人类型

院校

许可备案

0 次

权利质押

0 次

权利转移

1 个

海关备案

法律价值    19.0

该指标主要从专利权的稳定性角度评议其价值。专利权是一种垄断权,但其在法律保护的期间和范围内才有效。 专利权的存续时间、当前的法律状态可反映出其法律价值。故而,若您准备找寻权属稳定且专利权人非常重视的专利技术,推荐您关注该指标。

部分指标包括:

存活期/维持时间

8

法律状态

有权-审定授权