【中国发明,中国发明授权】一种基于Toeplitz近似法的复合材料板损伤检测方法

有权-审定授权 中国

授权公告日/公开日:
2020.12.29
专利有效期:
2018.09.04-2038.09.04
技术分类:
G01:测量;测试
转化方式:
转让
价值度指数:
57.0分
价格:
¥11500.00
2555 0

发布人

深圳龙图腾科技成果转化有限公司

联系人丁工

18156017870
2850394575@qq.com
2850394575
18156017870
合肥市高新区创新产业园二期J2区18楼
  • 专利信息&法律状态
  • 专利自评
  • 专利技术文档
  • 价值度指数
  • 发明人阵容

著录项

申请号
CN201811026013.0
申请日
20180904
公开/公告号
CN109115894A
公开/公告日
20190101
申请/专利权人
[温州大学激光与光电智能制造研究院]
发明/设计人
[钟永腾, 张政浩, 向家伟]
主分类号
G01N29/44
IPC分类号
C12N 9/0008(2013.01) C12N 9/16
CPC分类号
C12N 9/0008(2013.01) C12N 9/16(2013.01)
分案申请地址
国省代码
浙江(33)
颁证日
G06T1/00
代理人
[陈加利]

摘要

本发明属于工程结构健康监测领域,涉及一种基于Toeplitz近似法的复合材料板损伤检测方法。包括以下步骤:步骤一:对复合材料板的损伤散射信号进行采集;步骤二:利用Toeplitz近似法对损伤散射信号的来波方向进行估计;步骤三:结合小波变换和Lamb波传播特性对损伤散射源的距离进行估计。本发明方法所采用的方法一方面无需在监测区域进行搜索,直接计算得出角度,减少了运行时间和计算速度,另一方面采用Toeplitz矩阵代替对角居优矩阵,使方法在低信噪比情况下仍然保持较高的计算精度。

法律状态

法律状态公告日 20250401
法律状态 专利申请权、专利权的转移
法律状态信息 专利权的转移
IPC(主分类):G01N 29/44
专利号:ZL2018110260130
登记生效日:20250314
变更事项:专利权人
变更前权利人:深圳龙图腾科技成果转化有限公司
变更后权利人:江苏塑之杰新材料科技有限公司
变更事项:国家或地区
变更前权利人:中国
变更后权利人:中国
变更事项:地址
变更前权利人:518000 广东省深圳市罗湖区笋岗街道笋岗东路3002号万通大厦22层2202室
变更后权利人:215000 江苏省苏州市高新区文昌路350号5幢1806室
法律状态公告日 20231010
法律状态 专利申请权、专利权的转移
法律状态信息 专利权的转移
IPC(主分类):G01N 29/44
专利号:ZL2018110260130
登记生效日:20230919
变更事项:专利权人
变更前权利人:温州大学激光与光电智能制造研究院
变更后权利人:深圳龙图腾科技成果转化有限公司
变更事项:地址
变更前权利人:325000 浙江省温州市龙湾区海洋科技创业园C1幢
变更后权利人:518000 广东省深圳市罗湖区笋岗街道笋岗东路3002号万通大厦22层2202室
法律状态公告日 20201229
法律状态 授权
法律状态信息 授权
法律状态公告日 20190125
法律状态 实质审查的生效
法律状态信息 实质审查的生效
IPC(主分类):G01N 29/44
申请日:20180904
法律状态公告日 20190101
法律状态 公开
法律状态信息 公开
事务数据公告日 20250401
事务数据类型 专利申请权、专利权的转移
转让详情 专利权的转移
IPC(主分类):G01N 29/44
专利号:ZL2018110260130
登记生效日:20250314
变更事项:专利权人
变更前权利人:深圳龙图腾科技成果转化有限公司
变更后权利人:江苏塑之杰新材料科技有限公司
变更事项:国家或地区
变更前权利人:中国
变更后权利人:中国
变更事项:地址
变更前权利人:518000 广东省深圳市罗湖区笋岗街道笋岗东路3002号万通大厦22层2202室
变更后权利人:215000 江苏省苏州市高新区文昌路350号5幢1806室
事务数据公告日 20231010
事务数据类型 专利申请权、专利权的转移
转让详情 专利权的转移
IPC(主分类):G01N 29/44
专利号:ZL2018110260130
登记生效日:20230919
变更事项:专利权人
变更前权利人:温州大学激光与光电智能制造研究院
变更后权利人:深圳龙图腾科技成果转化有限公司
变更事项:地址
变更前权利人:325000 浙江省温州市龙湾区海洋科技创业园C1幢
变更后权利人:518000 广东省深圳市罗湖区笋岗街道笋岗东路3002号万通大厦22层2202室
暂无数据

权利要求

权利要求数量(4

独立权利要求数量(1

1.一种基于Toeplitz近似法的复合材料板损伤检测方法,其特征在于包括以下步骤:

步骤一:采集复合材料板的损伤散射信号:将激励传感器和响应传感器布置在复合材料板上,采集复合材料板在健康状态下的响应信号和损伤状态下的响应信号,以健康状态和损伤状态下的响应信号之差作为损伤散射信号;

步骤二:利用Toeplitz近似法对损伤散射信号的来波方向进行估计:(1)用谱峭度对损伤散射信号进行分析,得出其中心频率和带宽,然后采用小波变换分解某频带下的损伤散射信号;

(2)对损伤散射信号求其数据协方差矩阵;

(3)对数据协方差矩阵进行奇异值分解,得到奇异矢量;

(4)用奇异矢量构造新的Toeplitz矩阵代替原来的数据协方差矩阵;

(5)从新的数据协方差矩阵计算可观测矩阵;

(6)计算旋转不变因子;

(7)对进行特征值分解,得出损伤散射信号的来波方向;

步骤三:结合小波变换和Lamb波传播特性对损伤散射源的距离进行估计;

(1)分别采用响应传感器阵列的最中心的两个传感器组成激励-响应传感器组,实施激励,采集损伤散射信号;

(2)采用小波变换分解出某频带下的损伤散射信号;

(3)用峰值法求出损伤散射信号的飞行时间,结合测得的Lamb波的传播速度求出损伤源到达压电元件的距离,对损伤源和两个传感器间的距离求平均,即可得到压电元件和响应传感器阵列中心之间距离的估计值。

2.根据权利要求1所述的基于Toeplitz近似法的复合材料板损伤检测方法,其特征在于步骤一中,采集复合材料板的损伤散射信号的具体过程如下:

(1)将激励传感器和响应传感器布置在复合材料板上,其中响应传感器成等距线性布置,激励传感器布置在线性阵列的中线上;

(2)对结构损伤检测系统进行设置;

(3)对激励传感器进行激励,采集复合材料板在健康状态下的响应信号;

(4)将体积微小的铁块布置在复合材料板上作为模拟损伤源,采集复合材料板在损伤状态下的响应信号,以健康状态和损伤状态下的响应信号之差作为损伤散射信号。

3.根据权利要求2所述的基于Toeplitz近似法的复合材料板损伤检测方法,其特征在于:对结构损伤检测系统进行设置,设置采样频率为10MHz、采样长度为5000、预采集长度为500、系统触发采集的触发阈值为0.01V。

4.根据权利要求1所述的基于Toeplitz近似法的复合材料板损伤检测方法,其特征在于步骤二中,利用Toeplitz近似法对损伤散射信号的来波方向进行估计的具体过程如下:

(1)用谱峭度对损伤散射信号进行分析,得出其中心频率和带宽,然后采用小波变换分解出某频带下的损伤散射信号;

(2)对损伤散射信号求其数据协方差矩阵;

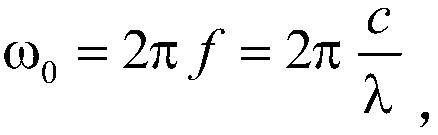
理想情况下N个远场窄带信号入射到阵元数为M的阵列中,信号源是窄带的前提下,信号可表示为:

式中,u(t)是信号的幅度,是信号的相位,ω是信号的频率;

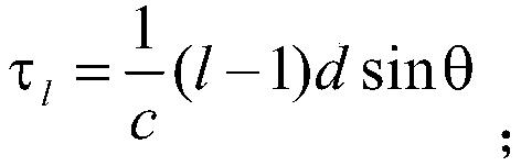
则第l个阵元接受信号为

式中,g为第l个阵元对第i个信号的增益,n(t)为第l个阵元在t时刻的噪声,τ为第i个信号到达第l个阵元时将对于参考阵元的时间延迟。在间距为d的等距均匀线阵中,单个信号源时,

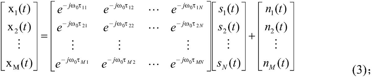
理想情况下,假设阵列中各阵元为各向同性且不存在通道不一致、互耦等因素的影响,则上式中的增益可归一化为1,所以将M个阵元在某一时刻接受到的信号进行排列得

将上式写为矢量形式为:

X(t)=AS(t)+N(t) (4);

式中X(t)为阵列的M×1维快拍数据矢量,N(t)为阵列的M×1维噪声数据矢量,S(t)为空间信号的N×1维矢量,A为空间阵列的M×N维流型矩阵,其中

A=[a(ω) a(ω) … a(ω)] (5);

其中,导向矢量

式中,c为光速,λ为波长;

所以理想情况下第i个阵元的响应信号为

X(t)=AS(t)+N(t)=z(t)+N(t) (7);

其中,z(t)是包含信号所有信息数据的矩阵,且有

式中D=diagI=[1 1… 1],Z(t)=S(t);

由式(8)可得

再令

Z(t)=[z(t) z(t) … z(t)] (10);

则可以得到理想情况下不含噪声的数据协防差矩阵为

式中B为B的共轭转置矩阵,R为Z的协方差矩阵;

(3)对数据协方差矩阵进行奇异值分解,得到奇异矢量,

式中,和分别是由对应信号子空间和噪声子空间的奇异值组成的对角阵;

(4)用奇异矢量构造新的Toeplitz矩阵代替原来的数据协方差矩阵;

用奇异矢量来近似代替理想情况下的数据协方差阵,使其满足Toeplitz结构,

(5)从新的数据协方差矩阵计算可观测矩阵B

运用旋转不变子空间的思想选择B

(6)计算旋转不变因子D;

选择B,B为B的前M-1行与后M-1行,即

所以B,B满足以下关系:

其中U和U分别为U的前M-1和后M-1行,上式的最小二乘解为

(7)对D进行特征值分解,由特征值得出损伤散射信号的来波方向。

1.一种基于Toeplitz近似法的复合材料板损伤检测方法,其特征在于包括以下步骤:

步骤一:采集复合材料板的损伤散射信号:将激励传感器和响应传感器布置在复合材料板上,采集复合材料板在健康状态下的响应信号和损伤状态下的响应信号,以健康状态和损伤状态下的响应信号之差作为损伤散射信号;

步骤二:利用Toeplitz近似法对损伤散射信号的来波方向进行估计:(1)用谱峭度对损伤散射信号进行分析,得出其中心频率和带宽,然后采用小波变换分解某频带下的损伤散射信号;

(2)对损伤散射信号求其数据协方差矩阵;

(3)对数据协方差矩阵进行奇异值分解,得到奇异矢量;

(4)用奇异矢量构造新的Toeplitz矩阵代替原来的数据协方差矩阵;

(5)从新的数据协方差矩阵计算可观测矩阵;

(6)计算旋转不变因子;

(7)对进行特征值分解,得出损伤散射信号的来波方向;

步骤三:结合小波变换和Lamb波传播特性对损伤散射源的距离进行估计;

(1)分别采用响应传感器阵列的最中心的两个传感器组成激励-响应传感器组,实施激励,采集损伤散射信号;

(2)采用小波变换分解出某频带下的损伤散射信号;

(3)用峰值法求出损伤散射信号的飞行时间,结合测得的Lamb波的传播速度求出损伤源到达压电元件的距离,对损伤源和两个传感器间的距离求平均,即可得到压电元件和响应传感器阵列中心之间距离的估计值。

2.根据权利要求1所述的基于Toeplitz近似法的复合材料板损伤检测方法,其特征在于步骤一中,采集复合材料板的损伤散射信号的具体过程如下:

(1)将激励传感器和响应传感器布置在复合材料板上,其中响应传感器成等距线性布置,激励传感器布置在线性阵列的中线上;

(2)对结构损伤检测系统进行设置;

(3)对激励传感器进行激励,采集复合材料板在健康状态下的响应信号;

(4)将体积微小的铁块布置在复合材料板上作为模拟损伤源,采集复合材料板在损伤状态下的响应信号,以健康状态和损伤状态下的响应信号之差作为损伤散射信号。

3.根据权利要求2所述的基于Toeplitz近似法的复合材料板损伤检测方法,其特征在于:对结构损伤检测系统进行设置,设置采样频率为10MHz、采样长度为5000、预采集长度为500、系统触发采集的触发阈值为0.01V。

4.根据权利要求1所述的基于Toeplitz近似法的复合材料板损伤检测方法,其特征在于步骤二中,利用Toeplitz近似法对损伤散射信号的来波方向进行估计的具体过程如下:

(1)用谱峭度对损伤散射信号进行分析,得出其中心频率和带宽,然后采用小波变换分解出某频带下的损伤散射信号;

(2)对损伤散射信号求其数据协方差矩阵;

理想情况下N个远场窄带信号入射到阵元数为M的阵列中,信号源是窄带的前提下,信号可表示为:

式中,ui(t)是信号的幅度,是信号的相位,ω0是信号的频率;

则第l个阵元接受信号为

式中,gli为第l个阵元对第i个信号的增益,nl(t)为第l个阵元在t时刻的噪声,τli为第i个信号到达第l个阵元时将对于参考阵元的时间延迟。在间距为d的等距均匀线阵中,单个信号源时,

理想情况下,假设阵列中各阵元为各向同性且不存在通道不一致、互耦等因素的影响,则上式中的增益可归一化为1,所以将M个阵元在某一时刻接受到的信号进行排列得

将上式写为矢量形式为:

X(t)=AS(t)+N(t) (4);

式中X(t)为阵列的M×1维快拍数据矢量,N(t)为阵列的M×1维噪声数据矢量,S(t)为空间信号的N×1维矢量,A为空间阵列的M×N维流型矩阵,其中

A=[a1(ω0) a2(ω0) … aN(ω0)] (5);

其中,导向矢量

式中,c为光速,λ为波长;

所以理想情况下第i个阵元的响应信号为

Xi(t)=AS(t)+Ni(t)=zi(t)+Ni(t) (7);

其中,zi(t)是包含信号所有信息数据的矩阵,且有

式中D=diagI1=[1 1… 1]T,Z1(t)=S(t);

由式(8)可得

再令

Z(t)=[z1(t) z2(t) … zM(t)]T (10);

则可以得到理想情况下不含噪声的数据协防差矩阵为

式中BH为B的共轭转置矩阵,RZ为Z1的协方差矩阵;

(3)对数据协方差矩阵进行奇异值分解,得到奇异矢量,

式中,和分别是由对应信号子空间和噪声子空间的奇异值组成的对角阵;

(4)用奇异矢量构造新的Toeplitz矩阵代替原来的数据协方差矩阵;

用奇异矢量来近似代替理想情况下的数据协方差阵,使其满足Toeplitz结构,

(5)从新的数据协方差矩阵计算可观测矩阵B

运用旋转不变子空间的思想选择B

(6)计算旋转不变因子D;

选择B1,B2为B的前M-1行与后M-1行,即

所以B1,B2满足以下关系:

其中US1和US2分别为US的前M-1和后M-1行,上式的最小二乘解为

(7)对D进行特征值分解,由特征值得出损伤散射信号的来波方向。

说明书

技术领域

本发明属于工程结构健康监测领域,涉及一种基于Toeplitz近似法的复合材料板损伤检测方法。

背景技术

复合材料是人们运用先进的材料制备技术将不同性质的材料组分优化组合而成的新材料。它不仅保持了各组分材料性能的优点,而且通过各组分性能的互补和关联可以获得单一组成材料所不能达到的综合性能,其具有比重小、比强高、比模高、耐高温、耐腐蚀、耐疲劳等优点,被广泛应用于航空航天、汽车、船舶、医学和建筑等领域。复合材料在服役状态下遭受外界低速冲击时,易产生微小损伤。这些微小损伤肉眼基本不可见,但是却会对设备的结构参数造成影响,使结构体的强度、刚度降低,为生产安全带来隐患,甚至造成人员伤亡。因此,对复合材料的损伤进行检测并定位,是非常有价值和显示意义的。

在理想情况下,阵列采集到的数据其协方差矩阵是满足Toeplitz结构的,而在实际情况下,由于各种干扰因素的影响,尤其是噪声,这个矩阵通常是对角居优矩阵,这种情况下基于该矩阵的算法准确度会下降。

发明内容

本发明的目的是为了克服现有技术存在的缺点和不足,而提供一种基于Toeplitz近似法的复合材料板损伤检测方法。

本发明所采取的技术方案如下:一种基于Toeplitz近似法的复合材料板损伤检测方法,包括以下步骤:

步骤一:采集复合材料板的损伤散射信号:将激励传感器和响应传感器布置在复合材料板上,采集复合材料板在健康状态下的响应信号和损伤状态下的响应信号,以健康状态和损伤状态下的响应信号之差作为损伤散射信号;

步骤二:利用Toeplitz近似法对损伤散射信号的来波方向进行估计:(1)用谱峭度对损伤散射信号进行分析,得出其中心频率和带宽,然后采用小波变换分解某频带下的损伤散射信号;

(2)对损伤散射信号求其数据协方差矩阵;

(3)对数据协方差矩阵进行奇异值分解,得到奇异矢量;

(4)用奇异矢量构造新的Toeplitz矩阵代替原来的数据协方差矩阵;

(5)从新的数据协方差矩阵计算可观测矩阵;

(6)计算旋转不变因子;

(7)对进行特征值分解,得出损伤散射信号的来波方向;

步骤三:结合小波变换和Lamb波传播特性对损伤散射源的距离进行估计;

(1)分别采用响应传感器阵列的最中心的两个传感器组成激励-响应传感器组,实施激励,采集损伤散射信号;

(2)采用小波变换分解出某频带下的损伤散射信号;

(3)用峰值法求出损伤散射信号的飞行时间,结合测得的Lamb波的传播速度求出损伤源到达压电元件的距离,对损伤源和两个传感器间的距离求平均,即可得到压电元件和响应传感器阵列中心之间距离的估计值。

步骤一中,采集复合材料板的损伤散射信号的具体过程如下:

(1)将激励传感器和响应传感器布置在复合材料板上,其中响应传感器成等距线性布置,激励传感器布置在线性阵列的中线上;

(2)对结构损伤检测系统进行设置;

(3)对激励传感器进行激励,采集复合材料板在健康状态下的响应信号;

(4)将体积微小的铁块布置在复合材料板上作为模拟损伤源,采集复合材料板在损伤状态下的响应信号,以健康状态和损伤状态下的响应信号之差作为损伤散射信号。

对结构损伤检测系统进行设置,设置采样频率为10MHz、采样长度为5000、预采集长度为500、系统触发采集的触发阈值为0.01V。

步骤二中,利用Toeplitz近似法对损伤散射信号的来波方向进行估计的具体过程如下:

(1)用谱峭度对损伤散射信号进行分析,得出其中心频率和带宽,然后采用小波变换分解出某频带下的损伤散射信号;

(2)对损伤散射信号求其数据协方差矩阵;

理想情况下N个远场窄带信号入射到阵元数为M的阵列中,信号源是窄带的前提下,信号可表示为:

式中,ui(t)是信号的幅度,是信号的相位,ω0是信号的频率;

则第l个阵元接受信号为

式中,gli为第l个阵元对第i个信号的增益,nl(t)为第l个阵元在t时刻的噪声,τli为第i个信号到达第l个阵元时将对于参考阵元的时间延迟。在间距为d的等距均匀线阵中,单个信号源时,

理想情况下,假设阵列中各阵元为各向同性且不存在通道不一致、互耦等因素的影响,则上式中的增益可归一化为1,所以将M个阵元在某一时刻接受到的信号进行排列得

将上式写为矢量形式为:

X(t)=AS(t)+N(t) (4);

式中X(t)为阵列的M×1维快拍数据矢量,N(t)为阵列的M×1维噪声数据矢量,S(t)为空间信号的N×1维矢量,A为空间阵列的M×N维流型矩阵,其中

A=[a1(ω0) a2(ω0) … aN(ω0)] (5);

其中,导向矢量

式中,c为光速,λ为波长;

所以理想情况下第i个阵元的响应信号为

Xi(t)=AS(t)+Ni(t)=zi(t)+Ni(t) (7);

其中,zi(t)是包含信号所有信息数据的矩阵,且有

式中I1=[1 1 … 1]T,Z1(t)=S(t);

由式(8)可得

再令

Z(t)=[z1(t) z2(t) … zM(t)]T (10);

则可以得到理想情况下不含噪声的数据协防差矩阵为

式中BH为B的共轭转置矩阵,RZ为Z1的协方差矩阵;

(3)对数据协方差矩阵进行奇异值分解,得到奇异矢量,

式中,和分别是由对应信号子空间和噪声子空间的奇异值组成的对角阵;

(4)用奇异矢量构造新的Toeplitz矩阵代替原来的数据协方差矩阵;

用奇异矢量来近似代替理想情况下的数据协方差阵,使其满足Toeplitz结构,

(5)从新的数据协方差矩阵计算可观测矩阵B

运用旋转不变子空间的思想选择B

(6)计算旋转不变因子D;

选择B1,B2为B的前M-1行与后M-1行,即

所以B1,B2满足以下关系:

其中US1和US2分别为US的前M-1和后M-1行,上式的最小二乘解为

(7)对D进行特征值分解,由特征值得出损伤散射信号的来波方向。

本发明的有益效果如下:本发明一方面无需在监测区域进行搜索,直接计算估计出角度,减少了计算时间;另一方面采用Toeplitz矩阵代替对角居优矩阵,使方法在低信噪比情况下仍然保持较高的计算精度。

附图说明

为了更清楚地说明本发明实施例或现有技术中的技术方案,下面将对实施例或现有技术描述中所需要使用的附图作简单地介绍,显而易见地,下面描述中的附图仅仅是本发明的一些实施例,对于本领域普通技术人员来讲,在不付出创造性劳动性的前提下,根据这些附图获得其他的附图仍属于本发明的范畴。

图1为本发明的流程图;

图2为传感器布置示意图;

图3为损伤散射信号波形图。

具体实施方式

为使本发明的目的、技术方案和优点更加清楚,下面将结合附图对本发明作进一步地详细描述。

一种基于Toeplitz近似法的复合材料板损伤检测方法,如图1所示,具体过程如下:

1、首先对复合材料板的损伤散射信号进行采集;

(1)将激励传感器和响应传感器布置在复合材料板上,其中响应传感器成等距线性布置,激励传感器布置在线性阵列的中线上;

(2)对结构损伤检测系统进行设置,设置采样频率为10MHz、采样长度为5000、预采集长度为500、系统触发采集的触发阈值为0.01V;

(3)对激励传感器进行激励,采集复合材料板在健康状态下的响应信号;

(4)将体积微小的铁块布置在复合材料板上作为模拟损伤源,采集复合材料板在损伤状态下的响应信号,以健康状态和损伤状态下的响应信号之差作为损伤散射信号;

2、然后利用Toeplitz近似法对损伤散射信号的来波方向进行估计;

(1)用谱峭度对损伤散射信号进行分析,得出其中心频率和带宽,然后采用小波变换分解出某频带下的损伤散射信号;

(2)对损伤散射信号求其数据协方差矩阵;

理想情况下N个远场窄带信号入射到阵元数为M的阵列中,信号源是窄带的前提下,信号可表示为:

式中,ui(t)是信号的幅度,是信号的相位,ω0是信号的频率。

则第l个阵元接受信号为

式中,gli为第l个阵元对第i个信号的增益,nl(t)为第l个阵元在t时刻的噪声,τli为第i个信号到达第l个阵元时将对于参考阵元的时间延迟。在间距为d的等距均匀线阵中,单个信号源时,

理想情况下,假设阵列中各阵元为各向同性且不存在通道不一致、互耦等因素的影响,则上式中的增益可归一化为1,所以将M个阵元在某一时刻接受到的信号进行排列得

将上式写为矢量形式为

X(t)=AS(t)+N(t) (4);

式中X(t)为阵列的M×1维快拍数据矢量,N(t)为阵列的M×1维噪声数据矢量,S(t)为空间信号的N×1维矢量,A为空间阵列的M×N维流型矩阵,其中

A=[a1(ω0) a2(ω0) … aN(ω0)] (5);

其中,导向矢量

式中,c为光速,λ为波长。

所以理想情况下第i个阵元的响应信号为

Xi(t)=AS(t)+Ni(t)=zi(t)+Ni(t) (7);

其中,zi(t)是包含信号所有信息数据的矩阵,且有

式中I1=[1 1 … 1]T,Z1(t)=S(t)。

由式(8)可得

再令

Z(t)=[z1(t) z2(t) … zM(t)]T (10);

则可以得到理想情况下不含噪声的数据协防差矩阵为

式中BH为B的共轭转置矩阵,RZ为Z1的协方差矩阵。

(3)对数据协方差矩阵进行奇异值分解,得到奇异矢量

实际情况下,测量得到的数据其协方差矩阵通常是对角居优矩阵,不满足Toeplitz结构,此时对数据协方差矩阵进行奇异值分解:

式中,和分别是由对应信号子空间和噪声子空间的奇异值组成的对角阵。

(4)用奇异矢量构造新的Toeplitz矩阵代替原来的数据协方差矩阵;

用奇异矢量来近似代替理想情况下的数据协方差阵,使其满足Toeplitz结构,

(5)从新的数据协方差矩阵计算可观测矩阵B

运用旋转不变子空间的思想选择B

(6)计算旋转不变因子D;

选择B1,B2为B的前M-1行与后M-1行,即

所以B1,B2满足以下关系:

其中US1和US2分别为US的前M-1和后M-1行,上式的最小二乘解为

(7)对D进行特征值分解,由特征值得出损伤散射信号的来波方向。

3、最后结合小波变换和Lamb波传播特性对损伤散射源的距离进行估计;

(1)分别采用响应传感器阵列的最中心的两个传感器组成激励-响应传感器组,实施激励,采集损伤散射信号;

(2)采用小波变换分解出某频带下的损伤散射信号;

(3)用峰值法求出损伤散射信号的飞行时间,结合测得的Lamb波的传播速度求出损伤源到达压电元件的距离,对损伤源和两个传感器间的距离求平均,即可得到压电元件和响应传感器阵列中心之间距离的估计值。

实施案例:为验证利用局部均值分解增强Toeplitz近似法的复合材料损伤检测方法的正确性,在GB3240环氧树脂复合板上进行了实验,板的尺寸为1000mm×1000mm×3mm,经计算Lamb波在此环氧树脂板上传播的平均速度为1586.2m/s。实验设备为结构损伤检测系统,实验传感器采用压电陶瓷传感器,型号为psn33,尺寸为8mm*0.48mm。因为Lamb在传播过程中遇到损伤会发生散射,所以将直径3mm,高度5mm的铁块粘在环氧树脂板表面作为模拟损伤源。

首先对复合材料板的损伤散射信号进行采集。将激励传感器和响应传感器布置在复合材料板上,其中响应传感器成等距线性布置,相邻两个传感器之间的中心之间的距离为10mm,

激励传感器布置在线性阵列的中线上方40cm处,如图2所示。然后对对结构损伤检测系统进行设置,设置采样频率为10MHz、采样长度为5000、预采集长度为500、系统触发采集的触发阈值为0.01V。对激励传感器进行激励,采集复合材料板在健康状态下的响应信号;将铁块粘在环氧树脂板表面作为模拟损伤源采集复合材料板在损伤状态下的响应信号,以健康状态和损伤状态下的响应信号之差作为损伤散射信号,在损伤源位置为(30°,30cm)时所采集到的损伤散射信号波形图如图3所示。

采用Toeplitz近似法对损伤散射信号的来波方向进行估计。首先用谱峭度对损伤散射信号进行分析,得出其中心频率和带宽,然后采用小波变换分解某频带下的损伤散射信号。对损伤散射信号求其数据协方差矩阵对数据协方差矩阵进行奇异值分解,得到奇异矢量和用奇异矢量构造新的Toeplitz矩阵代替原来的数据协方差矩阵;从新的数据协方差矩阵计算可观测矩阵B;通过旋转不变因子D建立起B1,B2的关系式,对关系式求解,得到D的最小二乘解;对旋转不变因子D进行特征值分解,得出损伤散射信号的来波方向。

最后结合小波变换和Lamb波传播特性对损伤散射源的距离进行估计。分别采用响应传感器阵列的最中心的两个传感器组成激励-响应传感器组,即M3-M4和M4-M3激励-响应传感器组,分别对M3和M4传感器进行激励,从M4和M3传感器接受信号,采集损伤散射信号。采用小波变换分解出某频带下的损伤散射信号,用峰值法求出损伤散射信号的飞行时间,结合测得的Lamb波的传播速度求出损伤源到达压电元件的距离,对损伤源和两个传感器间的距离求平均,即可得到压电元件和响应传感器阵列中心之间距离的估计值。分别在不同的位置上布置模拟损伤进行实验,实验结果如表1所示,说明了方法的有效性。

表1损伤定位实验结果

本领域普通技术人员可以理解实现上述实施例方法中的全部或部分步骤是可以通过程序来指令相关的硬件来完成,所述的程序可以存储于一计算机可读取存储介质中,所述的存储介质,如ROM/RAM、磁盘、光盘等。

以上所揭露的仅为本发明较佳实施例而已,当然不能以此来限定本发明之权利范围,因此依本发明权利要求所作的等同变化,仍属本发明所涵盖的范围。

价值度评估

技术价值

经济价值

法律价值

0 0 0

57.0

0 50 75 100
0~50 50~75 75~100 价值较低 中等价值 价值较高

专利价值度是通过科学的评估模

型对专利价值进行量化的结果,

基于专利大数据针对专利总体特

征指标利用计算机自动化技术对

待评估专利进行高效、智能化的

分析,从技术、经济和法律价值

三个层面构建专利价值评估体

系,可以有效提升专利价值评估

的质量和效率。

总评:57.0


该专利价值中等 (仅供参考)

        该专利的技术、经济、法律价值经系统自动评估后的总评得分处于平均水平,可以重点研究利用其技术价值,根据法律价值的评估结果选择合适的使用借鉴方式。
        本专利文献中包含【1 个实施例】、【2 个技术分类】,从一定程度上而言上述指标的数值越大可以反映出所述专利的技术保护及应用范围越广。 【专利权的维持时间8 年】专利权的维持时间越长,其价值对于权利人而言越高。 尤其重要是,该专利 【权利转移2 次】、 都从侧面反应出该专利的技术、经济和法律价值。

技术价值    29.0

该指标主要从专利申请的著录信息、法律事件等内容中挖掘其技术价值,专利类型、独立权利要求数量、无效请求次数等内容均可反映出专利的技术性价值。 技术创新是专利申请的核心,若您需要进行技术借鉴或寻找可合作的项目,推荐您重点关注该指标。

部分指标包括:

授权周期(发明)

27 个月

独立权利要求数量

1 个

从属权利要求数量

1 个

说明书页数

9 页

实施例个数

1 个

发明人数量

3 个

被引用次数

0 次

引用文献数量

0 个

优先权个数

0 个

技术分类数量

2 个

无效请求次数

0 个

分案子案个数

0 个

同族专利数

0 个

专利获奖情况

保密专利的解密

经济价值    9.0

该指标主要指示了专利技术在商品化、产业化及市场化过程中可能带来的预期利益。 专利技术只有转化成生产力才能体现其经济价值,专利技术的许可、转让、质押次数等指标均是其经济价值的表征。 因此,若您希望找到行业内的运用广泛的热点专利技术及侵权诉讼中的涉案专利,推荐您重点关注该指标。

部分指标包括:

申请人数量

1

申请人类型

科研机构

许可备案

0 次

权利质押

0 次

权利转移

2 个

海关备案

法律价值    19.0

该指标主要从专利权的稳定性角度评议其价值。专利权是一种垄断权,但其在法律保护的期间和范围内才有效。 专利权的存续时间、当前的法律状态可反映出其法律价值。故而,若您准备找寻权属稳定且专利权人非常重视的专利技术,推荐您关注该指标。

部分指标包括:

存活期/维持时间

8

法律状态

有权-审定授权