【中国发明,中国发明授权】一种可熔融加工的改性聚乙烯醇及其制备方法与应用

无权-未缴年费 中国

申请号:
CN201510496921.6
专利权人:
四川大学
授权公告日/公开日:
2017.08.22
专利有效期:
2015.08.13-2035.08.13
技术分类:
C08:有机高分子化合物;其制备或化学加工;以其为基料的组合物
转化方式:
转让
价值度指数:
54.0分
价格:
面议
148 0

发布人

知识产权运营中心

联系人IP先生

15113831943
9411117419@qq.com
941117419
szhf1188(加微信)
深圳市南山区粤海街道100号
  • 专利信息&法律状态
  • 专利自评
  • 专利技术文档
  • 价值度指数
  • 发明人阵容

著录项

申请号
CN201510496921.6
申请日
20150813
公开/公告号
CN105061651A
公开/公告日
20151118
申请/专利权人
[四川大学]
发明/设计人
[夏和生, 李发勇, 程振刚, 王振华, 傅代华]
主分类号
C08F116/06
IPC分类号
C12N 9/0008(2013.01) C12N 9/16
CPC分类号
C12N 9/0008(2013.01) C12N 9/16(2013.01)
分案申请地址
国省代码
中国,CN,四川(51)
颁证日
G06T1/00
代理人
[董芙蓉]

摘要

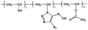
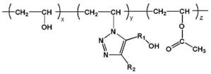
一种可熔融加工的改性聚乙烯醇及其制备方法与应用,所述改性聚乙烯醇具有以下结构通式:其中,R1为烷基链,R2为氢原子或端基含羟基的烷基链,x>1,y>1,z≥1,且x>y>z,熔融温度为160~230℃,分解温度>250℃。本发明还包括可熔融加工的改性聚乙烯醇的制备方法与应用。本发明可使改性聚乙烯醇的熔融温度大幅降低,热分解温度提高。本发明所用原料易得,反应操作简单,条件温和,对氧、水不敏感,产物收率高、选择性好;产物易纯化、后处理简单。

法律状态

法律状态公告日 20250808
法律状态 专利权的终止
法律状态信息 未缴年费专利权终止
IPC(主分类):C08F 116/06
专利号:ZL2015104969216
申请日:20150813
授权公告日:20170822
终止日期:
法律状态公告日 20170822
法律状态 授权
法律状态信息 授权
法律状态公告日 20151216
法律状态 实质审查的生效
法律状态信息 实质审查的生效
IPC(主分类):C08F 116/06
申请日:20150813
法律状态公告日 20151118
法律状态 公开
法律状态信息 公开
暂无数据

权利要求

权利要求数量(10

独立权利要求数量(3

1.一种可熔融加工的改性聚乙烯醇,其特征在于,其结构通式如下:

其中,R 1为烷基链,R 2为氢原子或端基含羟基的烷基链,x>1,y>1,z ≥1,且x>y>z,聚合度为1700~2500,醇解度为97~99%。

2.根据权利要求1所述的可熔融加工的改性聚乙烯醇,其特征在于, 所述改性聚乙烯醇的熔融温度为160~200℃,分解温度>250℃。

3.一种如权利要求1或2所述的可熔融加工的改性聚乙烯醇的制备 方法,其特征在于,包括以下步骤:

(1)将聚乙烯醇溶于去离子水中,完全溶解后冷却至室温,倒入甲醇 中沉淀出来,真空干燥得到去结晶的聚乙烯醇;

(2)按摩尔份计,将0.1份去结晶聚乙烯醇在无水吡啶中90~110℃ 下溶胀90~150min,冷却至0℃,加入0.1~0.5倍当量的对甲苯磺 酰氯,升温至20~30℃反应22~26h,反应结束后,倒入有机溶剂中 沉淀,过滤,真空干燥得到对甲苯磺酰氯改性的聚乙烯醇;

(3)按摩尔份计,将0.1份对甲苯磺酰氯改性的聚乙烯醇溶于N,N- 二甲基甲酰胺,加入8~10份叠氮钠,60~70℃下反应46~50小时, 反应结束后,倒入有机溶剂中沉淀,用去离子水洗涤,过滤,真空干 燥得到叠氮化的聚乙烯醇;

(4)按摩尔份计,将0.1份叠氮化的聚乙烯醇溶于二甲亚砜,加入相 对于叠氮官能团1.1倍当量的含羟基的炔烃改性剂,然后加入相对于 叠氮官能团1.8倍当量的催化剂反应46~50小时,反应结束后,倒 入乙醚中沉淀,真空干燥,即得可熔融加工的改性聚乙烯醇。

4.根据权利要求3所述的可熔融加工的改性聚乙烯醇的制备方法, 其特征在于,步骤(1)中,所述聚乙烯醇牌号为PVA0599,PVA1788, PVA1799和PVA2499中的任一种。

5.根据权利要求3所述的可熔融加工的改性聚乙烯醇的制备方法, 其特征在于,步骤(2)中,所述有机溶剂为甲醇。

6.根据权利要求3所述的可熔融加工的改性聚乙烯醇的制备方法, 其特征在于,步骤(3)中,所述有机溶剂为乙醚。

7.根据权利要求3~6之一所述的可熔融加工的改性聚乙烯醇的制备 方法,其特征在于,步骤(4)中,所述含炔基的脂肪醇改性剂结构通 式如下:

式中R 1为烷基链,R 2为氢原子或端基含羟基的烷基链。

8.根据权利要求7所述的可熔融加工的改性聚乙烯醇的制备方法, 其特征在于,所述含炔基的脂肪醇改性剂为1,4-丁炔二醇,丙炔醇, 丁炔醇和戊炔醇中的任一种。

9.根据权利要求3~6之一所述的可熔融加工的改性聚乙烯醇的制备 方法,其特征在于,步骤(4)中,所述催化剂为抗坏血酸钠/CuSO 4·5H 2O, 用量为0.3倍当量的抗环血酸钠和1.5倍当量的CuSO 4·5H 2O的水溶 液,或者CuBr/PMDETA,用量为0.3倍当量的CuBr和1.5倍当量 PMDETA。

10.根据权利要求1或2所述的可熔融加工的改性聚乙烯醇在3D打 印材料中的应用。

1.一种可熔融加工的改性聚乙烯醇,其特征在于,其结构通式如下:

其中,R1为烷基链,R2为氢原子或端基含羟基的烷基链,x>1,y>1,z≥1,且x>y>z,聚合度为1700~2500,醇解度为97~99%。

2.根据权利要求1所述的可熔融加工的改性聚乙烯醇,其特征在于,所述改性聚乙烯醇的熔融温度为160~200℃,分解温度>250℃。

3.一种如权利要求1或2所述的可熔融加工的改性聚乙烯醇的制备方法,其特征在于,包括以下步骤:

(1)将聚乙烯醇溶于去离子水中,完全溶解后冷却至室温,倒入甲醇中沉淀出来,真空干燥得到去结晶的聚乙烯醇;

(2)按摩尔份计,将0.1份去结晶聚乙烯醇在无水吡啶中90~110℃下溶胀90~150min,冷却至0℃,加入0.1~0.5倍当量的对甲苯磺酰氯,升温至20~30℃反应22~26h,反应结束后,倒入有机溶剂中沉淀,过滤,真空干燥得到对甲苯磺酰氯改性的聚乙烯醇;

(3)按摩尔份计,将0.1份对甲苯磺酰氯改性的聚乙烯醇溶于N,N-二甲基甲酰胺,加入8~10份叠氮钠,60~70℃下反应46~50小时,反应结束后,倒入有机溶剂中沉淀,用去离子水洗涤,过滤,真空干燥得到叠氮化的聚乙烯醇;

(4)按摩尔份计,将0.1份叠氮化的聚乙烯醇溶于二甲亚砜,加入相对于叠氮官能团1.1倍当量的含羟基的炔烃改性剂,然后加入相对于叠氮官能团1.8倍当量的催化剂反应46~50小时,反应结束后,倒入乙醚中沉淀,真空干燥,即得可熔融加工的改性聚乙烯醇。

4.根据权利要求3所述的可熔融加工的改性聚乙烯醇的制备方法,其特征在于,步骤(1)中,所述聚乙烯醇牌号为PVA0599,PVA1788,PVA1799和PVA2499中的任一种。

5.根据权利要求3所述的可熔融加工的改性聚乙烯醇的制备方法,其特征在于,步骤(2)中,所述有机溶剂为甲醇。

6.根据权利要求3所述的可熔融加工的改性聚乙烯醇的制备方法,其特征在于,步骤(3)中,所述有机溶剂为乙醚。

7.根据权利要求3~6之一所述的可熔融加工的改性聚乙烯醇的制备方法,其特征在于,步骤(4)中,所述含炔基的脂肪醇改性剂结构通式如下:

式中R1为烷基链,R2为氢原子或端基含羟基的烷基链。

8.根据权利要求7所述的可熔融加工的改性聚乙烯醇的制备方法,其特征在于,所述含炔基的脂肪醇改性剂为1,4-丁炔二醇,丙炔醇,丁炔醇和戊炔醇中的任一种。

9.根据权利要求3~6之一所述的可熔融加工的改性聚乙烯醇的制备方法,其特征在于,步骤(4)中,所述催化剂为抗坏血酸钠/CuSO4·5H2O,用量为0.3倍当量的抗环血酸钠和1.5倍当量的CuSO4·5H2O的水溶液,或者CuBr/PMDETA,用量为0.3倍当量的CuBr和1.5倍当量PMDETA。

10.根据权利要求1或2所述的可熔融加工的改性聚乙烯醇在3D打印材料中的应用。

说明书

技术领域

本发明涉及一种改性聚乙烯醇及其制备方法与应用,具体涉及一种可熔融加工的改性聚乙烯醇及其制备方法与应用。

背景技术

聚乙烯醇作为一种水溶性高分子聚合物,其性能介于塑料和橡胶之间,具有很强的粘接性能、柔韧性能、耐油性能、耐溶剂性能、气体阻隔性能、胶体保护性能、耐磨性能和经特殊处理具有的耐水性能等,广泛应用于纸张涂料、膜、医疗卫生、粘合剂、建筑、乳化剂和分散剂等行业,具有很高的产业相关度和广阔的研发应用前景。

聚乙烯醇分子链中含有大量的羟基,相邻羟基之间易形成分子内和分子间氢键,且聚乙烯醇分子链规整,结晶度高,使其具有很高的熔融温度,熔点高达220~230℃,与分解温度相近,很难进行熔融加工,从而限制了其应用范围。因此,为了发挥聚乙烯醇优异的材料潜能,实现和改善聚乙烯醇熔融的加工方法是聚乙烯醇工业发展的新方向。

目前,国内外对聚乙烯醇熔融加工技术进行了大量的报道,主要是通过物理(共混、增塑)或化学(共聚)改性来减弱聚乙烯醇分子间和分子内氢键,降低聚乙烯醇的熔点,实现聚乙烯醇的熔融加工。其中,物理改性主要是通过聚乙烯醇与小分子增塑剂进行复合,降低聚乙烯醇的熔点,改善流动性,再加之适量的助剂实现聚乙烯醇的熔融加工。但是增塑剂易吸湿,高温易迁移挥发,增塑效果不理想等问题依旧存在。例如CN201210136954.6公开了一种聚乙烯醇复合材料的熔融加工方法,通过合理选择小分子增塑剂的复合体系,加入适量助剂成功实现了聚乙烯醇热塑加工成型,虽然可解决聚乙烯醇熔融加工难题,而且也使复合材料的加工性能、力学性能、外观等得到改善,但是由于增塑剂和助剂的使用,难以保证改性聚乙烯醇的稳定性。共聚改性是通过乙酸乙烯酯单体与其他单体进行共聚在聚乙烯醇分子链引入作用力较弱的单体,改变聚乙烯醇的分子链的化学结构和规整度,减弱分子内、分子间氢键,降低其熔点,改善聚乙烯醇的热塑加工性能。然而共聚改性工艺较为复杂,难度较大,国内仅有实验研究,还未实现工业化。例如CN201210036388.1公开的可熔融加工的改性聚乙烯醇,采用长链基的共聚单体与乙酸乙烯酯共聚得到的改性聚乙烯醇,使其分解温度和熔融温度相差30℃以上,获得了优异的加工性能,但是整个反应可控性较差。US026302B2采用溶液聚合使含有多元醇键的乙烯基单体或通过醇解得到的多元醇键的乙烯基单体与乙酸乙烯酯共聚,经醇解得到的含有多元醇结构的改性聚乙烯醇,但需要与其他多元醇、少量增塑剂进行混合然后进行熔融加工,且反应难以控制。JournalofPolymerScience:PartA:PolymerChemistry,Vol.47,1317-1326(2009):“PyreneFunctionalPoly(vinylalcohol)by“Click”Chemistry”一文中报道一种对聚乙烯醇叠氮化改性的方法,一文中报道了用“点击化学”改性聚乙烯醇的方法,但并未用于改善聚乙烯醇的熔融加工性能。

迄今为止,没有研究将叠氮化聚乙烯醇与含炔基的脂肪醇进行点击化学反应用于对聚乙烯醇改性制备得到可熔融加工的聚乙烯醇。

发明内容

本发明所要解决的技术问题是,提供一种产物收率高、选择性好、易于分离提纯的可熔融加工的改性聚乙烯醇及其制备方法与应用。

本发明解决其技术问题采用的技术方案是,一种可熔融加工的改性聚乙烯醇,其结构通式如下:

其中,R1为烷基链,R2为氢原子或端基含羟基的烷基链,x>1,y>1,z≥1,且x>y>z聚合度为1700~2500,醇解度为97~99%。

进一步,所述改性聚乙烯醇的熔融温度为160~200℃,分解温度>250℃。

本发明进一步解决其技术问题采用的技术方案是,一种可熔融加工的改性聚乙烯醇的制备方法,包括以下步骤:

(1)将聚乙烯醇溶于去离子水中,完全溶解后冷却至室温,倒入甲醇中沉淀出来,真空干燥得到去结晶的聚乙烯醇;

(2)按摩尔份计,将0.1份去结晶聚乙烯醇在无水吡啶中90~110℃下溶胀90~150min,冷却至0℃,加入0.1~0.5倍当量的对甲苯磺酰氯,升温至20~30℃反应22~26h,反应结束后,倒入有机溶剂(优选甲醇)中沉淀,过滤,真空干燥得到对甲苯磺酰氯改性的聚乙烯醇(PVA-Ts);

(3)按摩尔份计,将0.1份对甲苯磺酰氯改性的聚乙烯醇溶于N,N-二甲基甲酰胺(DMF),加入8~10份叠氮钠(NaN3),60~70℃下反应46~50小时,反应结束后,倒入有机溶剂(优选乙醚)中沉淀,用去离子水洗涤,过滤,真空干燥得到叠氮化的聚乙烯醇(PVA-N3);

(4)按摩尔份计,将0.1份叠氮化的聚乙烯醇溶于二甲亚砜(DMSO),加入相对于叠氮官能团1.1倍当量的含炔基的脂肪醇改性剂,然后加入相对于叠氮官能团1.8倍当量的催化剂反应46~50小时,反应结束后,倒入乙醚中沉淀,真空干燥,即得可熔融加工的改性聚乙烯醇。

进一步,步骤(1)中,所述聚乙烯醇牌号为PVA0599,PVA1788,PVA1799和PVA2499中的任一种。

进一步,步骤(4)中,所述含炔基的脂肪醇改性剂结构通式如下:

式中R1为烷基链,R2为氢原子或端基含羟基的烷基链,更优选1,4-丁炔二醇,丙炔醇,丁炔醇和戊炔醇中的任一种改性剂。

进一步,所述催化剂为抗坏血酸钠/CuSO4·5H2O,用量为0.3倍当量的抗环血酸钠和1.5倍当量的CuSO4·5H2O的水溶液,或者CuBr/PMDETA,用量为0.3倍当量的CuBr和1.5倍当量PMDETA。

本发明进一步解决其技术问题采用的技术方案是,一种可熔融加工的改性聚乙烯醇在3D打印材料中的应用。

与现有技术相比,本发明具有以下有益的技术效果:

1、本发明利用聚乙烯醇多羟基的特性,对聚乙烯醇进行直接改性,通过点击化学反应在聚乙烯醇分子链上引入含羟基的三唑环的侧基,可使改性聚乙烯醇的熔融温度大幅降低,热分解温度提高。

2、本发明制备的改性聚乙烯醇可直接用来进行熔融加工,不需添加任何增塑剂及助剂。

3、本发明所用原料易得,反应操作简单,条件温和,对氧、水不敏感,产物收率高、选择性好;产物易纯化、后处理简单。

附图说明

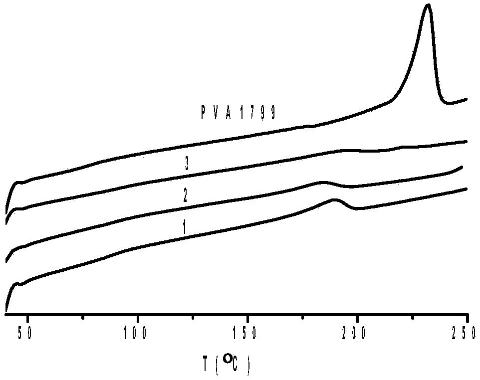
图1为本发明实施例1~3制备的改性聚乙烯醇与未被改性PVA1799的DSC对比图。

具体实施方式

下面结合实施例对本发明进一步加以说明。

原料:聚乙烯醇牌号PVA1799和PVA2499为中石化四川维尼纶厂生产;1,4-丁炔二醇,丙炔醇,丁炔醇,西亚试剂。

实施例1

(1)将10gPVA1799溶于150ml去离子水中,冷却至室温,倒入甲醇中沉淀,过滤真空干燥,得到去结晶的聚乙烯醇。

(2)称取4.4g去结晶PVA1799在110ml无水吡啶中100℃溶胀2小时,冷却至0℃,加入5.72g对甲苯磺酰氯,升温至室温反应24小时,反应结束后倒入甲醇中沉淀,过滤,真空干燥,得到对甲苯磺酰氯改性的聚乙烯醇(PVA-Ts)。

(3)将制备的PVA-Ts溶于352mlDMF中,加入3.9gNaN3,65℃下反应48小时,反应结束后,倒入乙醚中沉淀,用去离子水洗涤,真空干燥,得到叠氮化的聚乙烯醇(PVA-N3)。

(4)称取2.2gPVA-N3溶于33mlDMSO中,加入1,4-丁炔二醇0.26g,随后加入0.84g抗坏血酸钠和0.21gCuSO4·5H2O的水溶液,保持溶液体系为55ml,反应48小时,反应结束后倒入乙醚中沉淀,过滤,真空干燥,即得可熔融加工的改性聚乙烯醇,产物收率为90%。

实施例2

(1)将10gPVA1799溶150ml去离子水中,冷却至室温,倒入甲醇中沉淀,过滤真空干燥得到去结晶的聚乙烯醇。

(2)称取4.4g去结晶PVA1799在110ml无水吡啶中100℃溶胀2小时,冷却至0℃,加入7.63g对甲苯磺酰氯,升温至室温反应24小时,反应结束后倒入甲醇中沉淀,过滤,真空干燥,得到对甲苯磺酰氯改性的聚乙烯醇(PVA-Ts)。

(3)将制备的PVA-Ts溶于352mlDMF中,加入5.2gNaN3,65℃下反应48小时,反应结束后,倒入乙醚中沉淀,用去离子水洗涤,真空干燥,得到叠氮化的聚乙烯醇(PVA-N3)。

(4)称取2.2gPVA-N3溶于33mlDMSO中,加入1,4-丁炔二醇0.4g,随后加入1.26g抗坏血酸钠和0.32gCuSO4·5H2O的水溶液,保持溶液体系为55ml,反应48小时,反应结束后倒入乙醚中沉淀,过滤,真空干燥,即得可熔融加工的改性聚乙烯醇,产物收率为90%。

实施例3

(1)将10gPVA1799溶于150ml去离子水中,冷却至室温,倒入甲醇中沉淀,过滤真空干燥,得到去结晶的聚乙烯醇。

(2)称取4.4g去结晶PVA1799在110ml无水吡啶中100℃溶胀2小时,冷却至0℃,加入7.63g对甲苯磺酰氯,升温至室温反应24小时,反应结束后倒入甲醇中沉淀,过滤,真空干燥,得到对甲苯磺酰氯改性的聚乙烯醇(PVA-Ts)。

(3)将制备的PVA-Ts溶于352mlDMF中,加入5.2gNaN3,65℃下反应48小时,反应结束后,倒入乙醚中沉淀,用去离子水洗涤,真空干燥,得到叠氮化的聚乙烯醇(PVA-N3)。

(4)称取2.2gPVA-N3溶于33mlDMSO中,加入丙炔醇0.24g,随后加入1.26g抗坏血酸钠和0.32gCuSO4·5H2O的水溶液,保持溶液体系为55ml,反应48小时,反应结束后倒入乙醚中沉淀,过滤,真空干燥,即得可熔融加工的改性聚乙烯醇,产物收率为90%。

根据改性聚乙烯醇的熔点和分解温度分别在差示扫描量热Q20(TA,USA)和热重分析仪Q50(TA,USA)按照升温速率10℃/min,在氮气气氛下测得的。

测得实施例1制备的改性聚乙烯醇的熔点为189℃,如图1所示,分解温度为315℃。测得实施例2制备的改性聚乙烯醇的熔点为184℃,如图1所示,分解温度为315℃,测得实施例3制备的改性聚乙烯醇的熔点为196℃,如图1所示。分解温度为311℃。

由图1可知,改性后的聚乙烯醇的熔点显著降低,从而进一步证明了改性剂的引入可实现聚乙烯醇的熔融加工。

价值度评估

技术价值

经济价值

法律价值

0 0 0

54.0

0 50 75 100
0~50 50~75 75~100 价值较低 中等价值 价值较高

专利价值度是通过科学的评估模

型对专利价值进行量化的结果,

基于专利大数据针对专利总体特

征指标利用计算机自动化技术对

待评估专利进行高效、智能化的

分析,从技术、经济和法律价值

三个层面构建专利价值评估体

系,可以有效提升专利价值评估

的质量和效率。

总评:54.0


该专利价值中等 (仅供参考)

        该专利的技术、经济、法律价值经系统自动评估后的总评得分处于平均水平,可以重点研究利用其技术价值,根据法律价值的评估结果选择合适的使用借鉴方式。
        本专利文献中包含【3 个实施例】、【2 个技术分类】,从一定程度上而言上述指标的数值越大可以反映出所述专利的技术保护及应用范围越广。 【专利权的维持时间10 年】专利权的维持时间越长,其价值对于权利人而言越高。

技术价值    31.0

该指标主要从专利申请的著录信息、法律事件等内容中挖掘其技术价值,专利类型、独立权利要求数量、无效请求次数等内容均可反映出专利的技术性价值。 技术创新是专利申请的核心,若您需要进行技术借鉴或寻找可合作的项目,推荐您重点关注该指标。

部分指标包括:

授权周期(发明)

24 个月

独立权利要求数量

2 个

从属权利要求数量

7 个

说明书页数

4 页

实施例个数

3 个

发明人数量

5 个

被引用次数

0 次

引用文献数量

0 个

优先权个数

0 个

技术分类数量

2 个

无效请求次数

0 个

分案子案个数

0 个

同族专利数

0 个

专利获奖情况

保密专利的解密

经济价值    7.0

该指标主要指示了专利技术在商品化、产业化及市场化过程中可能带来的预期利益。 专利技术只有转化成生产力才能体现其经济价值,专利技术的许可、转让、质押次数等指标均是其经济价值的表征。 因此,若您希望找到行业内的运用广泛的热点专利技术及侵权诉讼中的涉案专利,推荐您重点关注该指标。

部分指标包括:

申请人数量

1

申请人类型

院校

许可备案

0 次

权利质押

0 次

权利转移

0 个

海关备案

法律价值    16.0

该指标主要从专利权的稳定性角度评议其价值。专利权是一种垄断权,但其在法律保护的期间和范围内才有效。 专利权的存续时间、当前的法律状态可反映出其法律价值。故而,若您准备找寻权属稳定且专利权人非常重视的专利技术,推荐您关注该指标。

部分指标包括:

存活期/维持时间

10

法律状态

无权-未缴年费